The Kth smallest in Binary Search Tree
Medium; BST
1. Link
2. 题目
230. Kth Smallest Element in a BST
Given the root of a binary search tree, and an integer k, return the kth (1-indexed) smallest element in the tree.
Example 1:
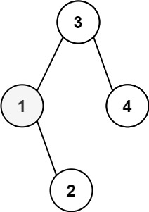
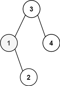
Input: root = [3,1,4,null,2], k = 1
Output: 1Example 2:
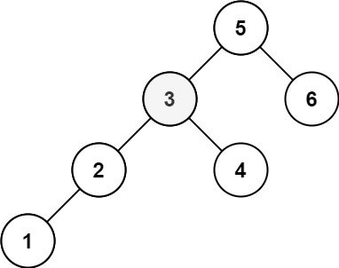
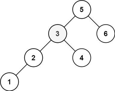
Input: root = [5,3,6,2,4,null,null,1], k = 3
Output: 33. 思路
Idea: Recursion of the Binary search tree
Input of recursion: parent node, k, the number of node smaller than parent
Output of recursion : either the found kth smallest node and it ranking k, or the maximum node value and the corresponding ranking (ascending ranking)
Idea
Iterate every node
first go to its left child to find the smallest node and its ranking
then find how many node is smaller than current node/left child and check if the returned result from left node or current node is the K^th smallest. If so, return result.
Then go to right child of current node with updated amount of node smaller than the right node.
Note that the main idea of this method is to label every node with its ranking based on BST property.
Time: O(n) to iterate every tree node. Space: O(logn) to store the depth of tree
4. Coding
# Definition for a binary tree node.
# class TreeNode:
# def __init__(self, val=0, left=None, right=None):
# self.val = val
# self.left = left
# self.right = right
class Solution:
def kthSmallest(self, root: TreeNode, k: int) -> int:
#1. input: tree node root node output: value of the kth smallest node in BST
#2. idea: recursion
# 1. input: node, the number of node smaller than input node, k.
# output: Either the found K^th smallest node or the maximum node value in that branch with its index/ ranking
# if node value index = k, then no change
# 2. First go to left tree with the same input.
# then check if the maximum node value in the left subtree rank k^th smallest
# and check if current node value rank K^th smallest. If so return left node value or current node value
# Otherwise, pass the number of node smaller than the right node to the right branch of current node
# and return the node found from the right branch
#
# 3. Time: O(n) for recursion in whole tree worst case, Space: O(logn) if tree is balanced
#
if not root:
return None
node, num = self.findnode(root, 0,k)
if num ==k:
return node.val
return None
def findnode(self, node, num_node, k):
if not node:
return None, num_node
l_node, l_num = self.findnode(node.left, num_node,k)
if l_num ==k:
return l_node, k
num = l_num + 1
if num ==k:
return node, k
r_node, r_num = self.findnode(node.right, num,k)
return r_node, r_numLast updated
Was this helpful?